• 正文
  • 相关推荐
申请入驻 产业图谱

电压放大器在抗疲劳高压电压电材料研究中的前沿探索

6小时前
115
加入交流群
扫码加入
获取工程师必备礼包
参与热点资讯讨论

实验名称:电压放大器在抗疲劳高压电压电材料研究中的应用

研究方向:压电材料

实验内容:

利用函数发生器设置想要加载在样品两端的波形,将电压信号输入安泰电子的ATA-2161电压放大器,根据自己所需电压设置放大器放大的倍数,并将放大的正负输出端分别加载于负载两端,同时在实验过程中,利用放大器尾端监视接口连接示波器,实时检测实验过程中电压信号。对材料施加交流电压循环测试,检测其抗疲劳特性

测试目的:检测材料在疲劳循环下的电学性能变化

测试设备:函数发生器、高压放大器、示波器

放大器型号:ATA-2161功率放大器

实验过程:

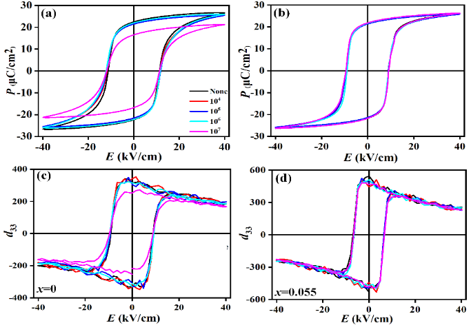
实验目的是测试压电陶瓷在经过不同周次循环后电学性能特性,压电陶瓷片表面被银后放在特制的加压模具中,整个模具浸泡在硅油中,防止高压产生的电火花引发危险。首先利用函数发生器设置想要加载在样品两端的波形,将电压信号输入ATA-2161电压放大器,根据自己所需电压设置倍数,并将放大的正负输出端分别夹在模具的正负极,整个实验过程中,在放大器尾端连接示波器,实时检测实验过程中电压信号。

测试结果:

利用ATA-2161高压放大器对样品进行加压测试后,通过所加电压频率及时间测算电场循环的频次,在施加不同次数的电压后,放入专门测试仪器中测试其电学性能,具体结果如下图所示,左右两列为不同组分的性能测试图,对比改性前的组分,改性后的组分有明显的电场抗疲劳效应,施加电场循环后仍能保持很好的电学特性。

放大器在该实验中发挥的效能:将函数发生器中的电压信号放大

功率放大器ATA-2161高压放大器参数指标:

本文实验素材由西安安泰电子整理发布,西安安泰电子是专业从事功率放大器、高压放大器、功率信号源、前置微小信号放大器、高精度电压源、高精度电流源、功率放大器模块等电子测量仪器研发、生产和销售的高科技企业。公司致力于功率放大器、计量校准产品等产品为核心的相关行业测试解决方案的研究,为用户提供具有竞争力的测试方案,Aigtek 已经成为在业界拥有广泛产品线,且具有相当规模的仪器设备供应商,样机都支持免费试用。

相关推荐