在设计 Boost 电路时,你是否曾为电感取值而绞尽脑汁?是否对输入电压变化带来的影响一头雾水?是否了解电感取值的最大值是多少?
其实,电感取值与输入电压有着千丝万缕的联系,而这个联系远非你想象的那么简单,甚至可能刷新你以往的认知!
1、BOOST电感取值计算公式
1.1 公式呈现
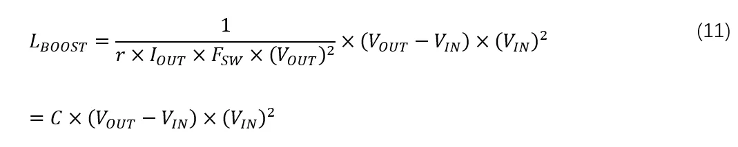
前文[ BOOST电路功率电感的取值 | 公式推导过程详解 ],推导出了Boost拓扑电感值计算公式,表示如下:

此文,分析Boost电路中电感取值随着输入电压的变化关系。二者是线性关系,还是非线性关系?很明显,电感值是输入电压的三次方,二者是非线性关系。
1.2 公式变形
将上述公式(10)变形如下:


看出来L与VIN什么关系了吗?似乎不太明了。
2、L与VIN变化关系的深入解析
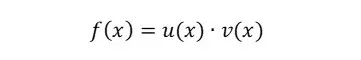
2.1 数学导数
在数学上,若

则导数为

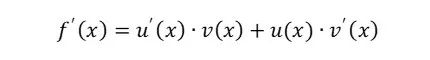
2.2 电感值对输入电压求导
公式(11)求导可得:

公式(11)的导数,也就是公式(12),是关于 V_IN 的一元二次方程,开口向下的抛物线。在导数等于0的位置,方程取得最大值。

图2 一元二次方程
令公式(12)等于0,解得 V_IN=0 (这里是无意义的解)或 V_IN=(2/3)×V_OUT 。
所以,在其他参数不变的情况下(也就是公式(11)中的C是常量),输入电压等于2/3倍输出电压时,Boost电感值取得最大值。
3、实例验证
给定r=0.5, I_OUT=1A , F_SW=300kHz , V_OUT=30V ,V_IN 范围从3V到29V。
3.1 基于公式(10),(使用Excel表格编辑公式)计算结果


图3 公式(10)验证结果
可见,电感量取得最大值的位置刚好是输入电压等于2/3倍输出电压处,也就是输入电压等于20V处。
可能有人会认为在求导过程中,虽然假设VOUT不变(实际输出电压确实是恒定量),但是VIN变化时,占空比D是变化的,所以这里的结论不可靠。
那么,接下来使用带有占空比的公式(9)重新验证。
3.2 基于公式(9),(使用Excel表格编辑公式)计算结果


图4 公式(9)验证结果
通过带占空比D参数的电感值计算公式(9)验证,结论是一致的,也是输入电压等于2/3输出电压时,电感值有最大值。
因为这些公式是可以相互推导得到的,实际是等价的,所以结论必然一致。
3.3 使用Mathcad画图验证


图5 Mathcad画图验证结果
可见,与基于公式(9)(10)验证结果完全相同,在输入电压为20V时,电感量取得最大值。
4、小结
当试图从物理或电路本身梳理一些物理量之间的关系却陷入困境时,不妨借助数学视角展开分析。数学是世界的底层逻辑,是宇宙的底层逻辑,其简洁性与优雅性往往能为我们拨开迷雾,直抵问题核心。
豆豆三部曲之一《遥远的救世主》(改编电视剧《天道》)中,伯爵(音响)公司总经理付子清分享道:
“我们都知道在80年代初,靠收录机起家的雅艺音响,雅艺固定资产从30万发展到2个亿用了十年的时间,而从2个亿到破产却只用了三年的时间”。
2415