作者:Marc Smith,核心应用部门首席工程师
摘要
本文介绍了通常应用于心电图(ECG)和生物阻抗(BioZ)模拟前端(AFE)电路的传统共模/差模无源电磁干扰(EMI)滤波器的分析与设计准则。文中详细说明了不平衡的EMI滤波器如何造成共模噪声混入差模信号路径,进而降低信噪比(SNR)性能。这种现象称为共模至差模转换(共模转差模)。通过审慎选择元件,设计人员能够减轻相关的SNR下降问题,同时为ECG和BioZ AFE提供合适的信号滤波。
引言
本文对传统共模(CM)至差模(DM)无源滤波器中因失衡问题所导致的性能限制进行了分析与探讨。
图1展示了MAX30001心电图(ECG)模拟前端(AFE)的典型电路原理图。图1所示的两个外部电磁干扰(EMI)滤波器(其中一个以蓝色着重标注)是传统的共模转差模滤波器电路。

图1.双电极心电图和呼吸监测。
上述外部EMI滤波器(采用传统的共模转差模滤波电路实现)同时兼具共模和差模带宽限制功能。此外,设计人员只需审慎选择一个元件参数值(差模电容),就能缓解因共模信号路径失衡而导致的信噪比(SNR)下降问题。对于仅由五个无源元件组成的电路而言,实属不易!
在深入探讨这种电路之前,我们先简要讨论一下可能遭遇的外部电磁干扰源有哪些。电磁干扰(EMI)是一种与外部电磁感应源(如磁耦合)、静电耦合(如电容耦合)或传导相关的电路干扰现象。从根本上讲,电磁干扰可以通过辐射和/或传导的方式耦合到电路中。图2展示了包含几种常见电磁干扰源示例的频谱图。

图2.嘈杂的EMI环境。
传统的共模转差模无源滤波器
图3展示了通常用于减轻环境噪声的传统共模转差模无源滤波器。在心电图应用中,带宽通常限制为256 Hz(512 SPS)或更低,交流电源线产生的信号(如50 Hz/60 Hz)往往成为最具破坏性的电磁干扰源头。这些信号可能以共模信号的形态出现,而我们的目标是防止它们对差模信号造成干扰。如果共模转差模无源滤波器存在失衡问题,不需要的信号(也称为噪声)就可能会损坏目标差模信号。

图3.传统的共模转差模滤波器电路。
共模滤波器和共模转差模
共模转差模无源(EMI)滤波器可以看作是一个由共模RC滤波器和差模RC滤波器组成的复合滤波器。图4展示了这两种滤波器配置作为独立电路的情况。需要注意的是,这些滤波器结构(包括共模转差模无源滤波器)常常在诸如Δ-Σ调制器之类的采样模数电路中用作抗混叠滤波器(AAF)。因此,此处的分析同样适用于AAF和其他差模信号电路。

图4.共模RC滤波器和差模RC滤波器。
共模滤波器尤其值得关注,因为当它的电路出现不平衡时(即两条输入信号路径的时间常数不相等时),它可能会成为噪声的传播媒介。考虑到元件容差、温度系数、电压系数等因素,这种不平衡是一种常见的情况。在存在电噪声的环境中,共模滤波器的共模抑制能力决定了有多少噪声可能会注入到差模通道中。这种注入的噪声会降低目标信号(差模通道信号)的信噪比(SNR)。这称为共模至差模转换(共模转差模)。通过预估电气环境,设计人员可以采用适量的元件匹配措施来减少共模至差模的转换。
实用带宽近似计算
在分析共模转差模传递函数之前,我们不妨先计算平衡共模转差模滤波器的共模和差模电路带宽。这些计算不仅能为设计人员在ECG/BioZ应用中进行电路调谐,提供一系列实用的公式依据,还能辅助理解共模至差模转换表达式的深层含义。
图5展示了平衡共模配置和平衡差模配置的等效电路。在图5a中,平衡共模电路在输出端产生相同的信号电平(VOUT = 0 V)。因此,差模电容CDM不会影响电路带宽,所以在等效电路模型中可以将其去除。共模带宽由R × CCM的时间常数决定。
在图5b中,应用了电路镜像技术,用两个数值为2 × CDM(CDM等效阻抗)的串联电容代替差模电容。对于平衡电路而言,在2 × CDM电容之间存在一个虚地点,这就产生了两条完全相同的支路,其中任意一条支路都能决定电路的带宽。差模带宽由R(CCM + 2 × CDM)的时间常数来设定。

图5.(a) 平衡共模电路和 (b) 平衡差模电路。
尽管这些实用的带宽表达式很有用,但它们只是理想值。任何电路不平衡都会影响共模和差模带宽。虽然电路不平衡可能会导致差模信号强度减弱(差模至共模转换),但这可以通过增加后续级的增益来弥补。另一方面,在外部存在噪声的环境中,电路不平衡会通过共模转差模转换导致差模通道的信噪比下降。
共模转差模传递函数

图6.用于共模转差模电路分析的电路拓扑结构。
自十九世纪中叶以来,桥式电路(例如惠斯通电桥)就已得到了广泛应用。尽管桥式电路在众多领域都有应用,但它在这里用作一种分析工具。图7着重展示了通用桥式电路的传递函数方程(由惠斯通电桥推导扩展而来)。

图7.桥式电路(惠斯通电桥)。
将这些公式应用于图6中的电路,可得到以下共模至差模转换的传递函数:

请注意,这个传递函数有三个极点和两个零点。从系统工程的角度来看,这是一个3阶1型系统传递函数。公式2展示了通用的公式形式,突出了电路不平衡的影响(即当 τ2 ≠ τ1时)。

令人惊讶的是,对于仅有五个无源元件的情况而言,这个包含五项的传递函数相当复杂。研究各个单独的项有助于深入了解如何进行可能的简化。极点p1和p2将确定两个较高的频率转折点,而极点p0将确定一个较低的频率转折点。默认情况下(由于存在额外的电容),BWp0 < BWp1 ≈ BWp2。如果采用了较大的CDIFF (CDIFF >> C1||C2),则较低频率(即低于BWp0)的共模噪声传递对于C1和C2的不匹配将变得不那么敏感。
实用共模转差模传递函数近似值
参考图5中的带宽近似值,请注意,极点p1和p2与共模带宽相对应。此外,如果R1?≈ R2且C1?≈ C2,极点p0则与差模带宽相对应(具体推导过程留给读者自行完成)。
进一步来看,如果R1?≈ R2且C1?≈ C2,零点Z1近似等于两个极点p1和p2中的任意一个。消去一对近似相等的极点/零点,不仅会简化我们的表达式,还能得到一个实用的传递函数近似值。
近似的共模转差模转换传递函数为:

注:表达式中保留了极点p1,假定它与极点p2相比设定了一个更高的转折频率。这个极点对更高频率的衰减会有更大的影响。
对公式3进行分析可以发现,当分子中的两个时间常数相等时,电路处于完全平衡状态,此时传递增益为零(即具有无限大的共模抑制能力)。虽然从理论上来说这是可能的,但在实际中这种情况非常罕见。即便有人手动对电路进行平衡调节,诸多其他因素(诸如元件老化、温度变化、电压影响等)仍会致使电路偏离这种理想状态。对设计人员而言,应当投入更多时间来了解共模转差模转换对元件容差的敏感程度。这将有助于为共模电磁干扰噪声设定初始的抑制级别。
注:共模转差模EMI滤波器通常不被视为精密电路。它应用于环境噪声信号强度不太明确的情形。正因如此,它旨在帮助抑制常见的已知噪声源(例如电力线干扰、调幅无线电干扰等)。
在跨越了“无限之桥”后,让我们回到现实世界,要明白,电路不平衡才是常态。实际上,我们关注的重点正是最坏情况下的电路不平衡状态。重新审视公式3,请注意,该传递函数以20 dB/dec的速率上升,在低频极点(fL)处趋于平缓,然后在高于高频极点(fH )的频率段以-20 dB/dec的速率下降。中心频率可以通过取两个极点频率的几何平均值来近似计算。然而,这种近似计算的误差会随着元件失配程度的增加而增大。对于较大的失配误差(例如,容差为±1%的电阻和容差为±20%的电容),建议(通过手动分析和/或仿真的方式)找出在相移为-180°时的峰值增益。
峰值中频增益的近似计算方法如下:

如果CDIFF >> C1 ≈ C2,则峰值中频增益可以进一步简化,如下所示:
6

如果对所有元件都选择用δ表示的相同容差,公式5可简化为:

虽然从设计的角度来看,这(选择具有相同容差的元件)在某种程度上具有一定的局限性,但它强调了一个要点,即电容比(共模电容与差模电容之比)越小,电路对共模噪声的衰减能力就越强。
回到公式5,在分析电路在最坏容差条件下的情况时,假定元件的值是有偏差的,使得分子达到最大值。RC时间常数的失配(电路不平衡)越大,共模噪声就会更多地混入差模通道中。将注意力转向分母项,注意到电阻之和简单来说就是标称电阻的两倍,表达式可以简化如下:
把公式7代入公式5,得到:

公式8是一个非常简单且实用的共模转差模转换中频增益的近似公式:即共模时间常数失配值除以标称差模时间常数。只要CDIFF很大(CDIFF ≥ 100 × (C1和C2的值)),公式8就相当准确。
有人可能会想随意增大CDIFF的值,以降低分子(即电阻电容时间常数失配)的敏感度。遗憾的是,这种做法是受限的,因为它会设定差模通道的带宽(也就是我们所关注的信号的带宽)。因此,需要进行权衡取舍。
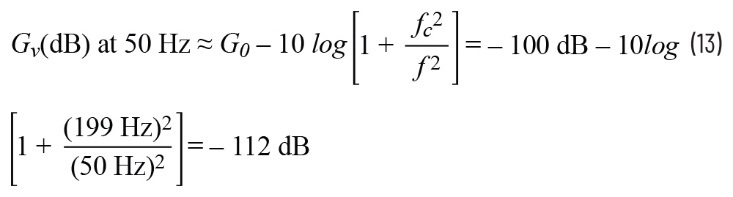
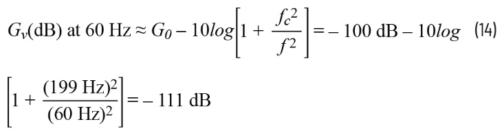
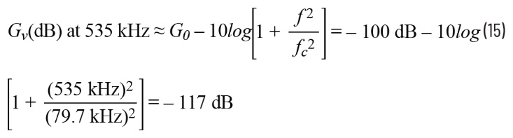
现在,可以利用峰值中频增益以及低频和高频转折频率,来近似估算在 50 Hz/60 Hz(潜在电力线干扰)和535 kHz(潜在的AM无线电频谱干扰的低频端)时的共模抑制能力。下面的例子着重说明了这一点。
共模转差模传递函数示例

图8.EMI滤波器示例。
我们假设每个元件都有0.1%的容差。这将提供一个参考水平,以便与其他EMI滤波器电路场景进行比较(见图8)。对于最坏情况(wc)下的抑制近似计算,请使用以下数值:

应用公式8:

请注意,前面表达式的分母是低频转折频率的时间常数,我们可以很容易地计算出fL:
现在使用较小的RC时间常数来确定较高频率的极点:
有了这些数值,我们现在可以按如下方式估算在50 Hz/60 Hz和535 kHz时的衰减:



这些手动计算结果与电路仿真结果非常吻合(见图9)。请记住,这并不是一个精密电路。对于EMI滤波器的应用来说,几分贝(dB)以内的近似值通常是可以接受的。

图9.使用容差为0.1%的元件对EMI滤波器进行的LTspice仿真。
表1重点显示了该电路在50 Hz/60 Hz和535 kHz频率下,针对不同元件容差水平的共模转差模抑制能力。第一种情况(容差为±0.1%)在某种程度上是一个任意参考点,基于在实验室工作台手动测量无源元件而设定。其他情况则反映了市面上常见的电阻和电容的容差水平,以便进行比较。
表1.EMI滤波器共模转差模衰减估算

请注意,在进行最坏情况的估计时,RC时间常数的容差会翻倍。也就是说,如果差模电路的一侧增加X个百分点,另一侧可能会减少X个百分点。例如,如果R1和R2是容差为1%的元件,C1和C2是容差为10%的元件,那么最坏情况下的RC时间常数失配率为22%。与容差为0.1%(即时间常数失配为8 ns)的参考情况相比,440 ns(22%)的失配会使共模抑制能力降低35 dB。这无疑是相当大的损耗!至于这种损耗能否被接受,需视具体使用场景而定。
图10展示了共模抑制比与Delta Tau的关系曲线,其中Delta Tau表示RC时间常数失配量。在底部横轴旁,几个对应的RC容差水平以红色标注。为作说明,64 ns Delta Tau水平对应于1.6%的RC容差(64 ns/2 ?s = 3.2%最坏情况失配 = ±1.6%RC容差)。从该曲线图的斜率可知,每当RC时间常数失配量翻倍时,共模抑制比就会降低6 dB。

图10.共模抑制与Delta Tau(τ2– τ1)。
要点总结
- 预测并验证电磁干扰(EMI)环境。
 - 等效的共模转差模电路是一种桥式电路,属于非线性电路。
 - 通过合理选择CDIFF,设计人员能够利用公式8及计算得出的转折频率,轻松估算共模转差模的转换情况。
 - 增大CDIFF的值,会降低电路对C1和C2之间失配的敏感度,也会降低对Delta Tau(即共模RC时间常数失配)的敏感度。
 - 根据一阶近似,每当RC失配量翻倍时,共模抑制比就会下降6 dB。
 - 元件制造容差只是其中一个影响因素。温度、电压以及元件老化也会对元件之间的失配产生影响。
 - 所有的计算都是基于最坏情况下的失配进行的。其他任何情况只会使电路性能更好,最终达到理想的无限大共模抑制比。
 - 分析并理解所用的电路,找出性能方面的权衡取舍及适用的近似计算方法。不要仅仅依靠仿真来进行设计。
 - 这种分析方法可以扩展应用到AAF的设计中。
 
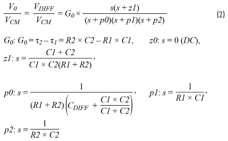
针对ECG应用调整EMI滤波器
为ECG应用设计EMI滤波器时,首先要设定差模信号带宽。在健康应用场景中,通常以心率的R'-R'测量为目标,这可以在较低的带宽(40 Hz)下实现,而心律失常检测应用则需要更高的带宽(256 Hz)。
在此示例中,将为心律失常检测应用设计一个带宽为256 Hz的EMI滤波器。根据IEC 60601-1安全合规性要求,电阻值存在一个最低限度。具体而言,为了保护患者,单一故障条件下的直流电必须限制在50 ?A以内。因此,如果ECG AFE IC(例如MAX30001、MAX30003、MAX30005、MAX86176或MAX86178)由1.8 V电源供电,则最小电阻值应为36 kΩ(1.8 V/50 ?A)。
在选择电阻值之前,有必要重新审视一下公式5。通过增大分母的值(增加电阻值,同时保持CDIFF与CCM比率恒定),可以降低共模到差模的转换。虽然这在设计上有一定灵活性,但电阻会产生约翰逊热噪声,这种噪声可能会导致差模信号出现误差。为了最大程度减少这种噪声源,建议电阻值小于兆欧(MΩ)级。
我们将设计目标设定如下:
差模通道带宽 = 282 Hz(允许与标称的256 Hz有10%的误差)。
共模通道带宽 = 48.2 kHz(允许与标称的53.5 kHz有10%的误差,比最低AM无线电波段的535 kHz低一个数量级)。
注:初始容差假设仅仅是起始参考,假定共模RC时间常数大约有10%的容差。
使用10 pF电容并且fc = 48.2 kHz时,计算所得的电阻值应为330.2 kΩ。
根据图5中给出的差模带宽公式计算CDIFF值,得到851.3 pF。
选择电阻值为330 kΩ、容差为0.1%的电阻。为实现更好的共模抑制效果,建议选用精度(容差)更高的电阻。通过合理选择差模电容的值,可以降低电路对共模电容的敏感度。因此,两个共模电容可以具有较大的容差,这样还能节省成本。
注:当使用干电极进行ECG测量时,通常不建议使用EMI滤波器。这是因为,对于干电极与组织之间较高的阻抗接口而言,EMI滤波器提供了一条较低阻抗的路径。从根本上来说,EMI滤波器会使AFE器件中仪表放大器的高共模抑制能力失效。如果无法在所有环境条件下做到极其精确的匹配,EMI滤波器可能会降低整个系统的共模抑制性能。
遗憾的是,计算得出的电阻和电容值并不总是与市面上可采购到的元件相匹配。因此,设计人员需要进行研究,并根据尺寸、成本、容差、温度系数、电压应力、老化等因素,选择所能得到的最接近的元件值。此处的分析仅考虑了标称制造容差示例所产生的影响。建议设计人员深入分析具体应用场景,以便充分考虑所有相关的变化因素。
选择以下EMI滤波器设计元件:
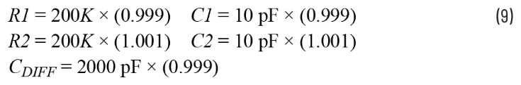
R1 = R2 = 330 kΩ,0.1%;C1 = C2 = 10 pF*,10%;CDIFF = 850 pF,10%
使用公式8及用于计算一阶上升沿和下降沿衰减的公式,可得出以下电路特性:
共模带宽 ≈ (2π × (330 k)(10 pF))–1 = 48.2 kHz标称值;带宽(容差)范围:43.8 kHz至53.6 kHz
差模带宽 ≈ (2π × (330 k)(10 pF + 2 × 850 pF))–1 = 282 kHz标称值;带宽(容差)范围:257 Hz至313 Hz
50 Hz时的最坏情况下的共模抑制 =–74 dB
60 Hz时的最坏情况下的共模抑制 =–72 dB
535 kHz时的最坏情况下的共模抑制 =–78 dB
使用了一种名为Spice的电路仿真软件来验证上述计算结果(具体的计算和仿真过程留给读者自行完成)。对于最坏情况场景,使用LTspice?软件进行的仿真得出了以下结果:
FH = 49 kHz和FL = 311 Hz
50 Hz时的最坏情况下的共模抑制 =–74 dB,60 Hz时的最坏情况下的共模抑制 =–72 dB
535 kHz时的最坏情况下的共模抑制 =–78.6 dB*
*如前文所述,极点/零点项的抵消会给高频衰减近似计算带来一定误差。在此用例中,我们的估算值在535kHz处与实际值相差0.6 dB。
请注意,采用容差更小的电容器可以提高抑制水平。鉴于EMI滤波器会直接影响前端电子器件的共模抑制性能,甚至可能导致前端放大器的共模抑制作用形同虚设,采取这一措施显得尤为必要。
针对BioZ应用调整EMI滤波器
为BioZ应用设计EMI滤波器时,首先要做的同样是设定差模信号带宽。然而,BioZ技术涉及将交流信号注入人体组织,然后对返回信号的幅度和相位信息进行分析。因此,滤波器产生的任何相位失真都会引入信号误差。
为避免相位失真,建议将差模转折频率设置为比驱动频率高出几个数量级。MAX30001 BioZ电路提供了125 Hz至131.072 kHz的注入信号范围。由于差模带宽不能大于共模带宽,因此将差模频率转折设定为535 Hz,同时将标称共模转折频率设定为53.5 kHz(比AM无线电波段低一个数量级)。
我们将设计目标设定如下:
差模通道带宽 = 595 Hz(允许与标称的535 Hz有10%的误差)。
共模通道带宽 = 48.2 kHz(允许与标称的53.5 kHz有10%的误差,比最低AM无线电波段的535 kHz低一个数量级)。
注:初始容差假设仅仅是起始参考,假定共模RC时间常数大约有10%的容差。
使用10 pF电容并且fc = 48.2 kHz时,电阻应为330.2 kΩ。
根据图5中给出的差模带宽公式计算CDIFF值,得到400 pF。
选择以下EMI滤波器设计元件:
R1 = R2 = 330 kΩ,0.1%;C1 = C2 = 10 pF*,10%;CDIFF = 400 pF,10%
* 由于PCB存在杂散电容,不建议使用电容值较低的电容器。
使用公式8及用于计算一阶上升沿和下降沿衰减的公式,可得出以下电路特性:
共模带宽 ≈ (2π × (330 k)(10 pF))–1 = 48.2 kHz标称值;带宽(容差)范围:43.8 kHz至53.6 kHz
差模带宽 ≈ (2π × (330 k)(10 pF + 2 × 400 pF))–1 = 595 Hz标称值;带宽(容差)范围:542 Hz至661 Hz
50 Hz时的最坏情况下的共模抑制 =–73.6 dB
60 Hz时的最坏情况下的共模抑制 =–72.2 dB
535 kHz时的最坏情况下的共模抑制 =–71.2 dB
使用了一种名为Spice的电路仿真软件来验证上述计算结果(具体的计算和仿真过程留给读者自行完成)。对于最坏情况场景,使用LTspice软件进行的仿真得出了以下结果:
FH = 49 kHz和FL = 311 Hz
50 Hz时的最坏情况下的共模抑制 =–73.6 dB,60 Hz时的最坏情况下的共模抑制 =–72 dB
535 kHz时的最坏情况下的共模抑制 =–72 dB*
*如上文所述,极点/零点项的抵消会给高频衰减近似计算带来一定误差。在此用例中,我们的估算值在535kHz处与实际值相差0.8 dB。
关于BioZ应用中EMI滤波器的最后几点思考
在为BioZ应用设计EMI滤波器时,如果注入信号频率较高(大于535 Hz),对AM无线电频段的共模抑制能力将会减弱。此外,较高的BioZ注入频率会促使设计采用电阻值更低的电阻。使用36 kΩ的电阻(这是在电源电压为1.8 V时,为符合IEC 60601-1安全标准而计算得出的值),搭配10 pF的电容,可将共模带宽设定在440 kHz左右。将差模转折频率降低两个数量级,会把注入频率限制在4 kHz左右。如果需要更高的BioZ注入频率(比如MAX30001的最大注入频率为131 kHz),则需要使用电阻值更低的电阻。
共模抑制比与共模转差模转换
共模抑制比(CMRR)与共模转差模转换存在反向关联特性。CMRR是一个正项(通常情况下),共模转差模传递函数则是电路增益,其值通常小于1 V/V(即一个负的dB值)。需要注意的是,CMRR表达式中的增益项仅仅是输出信号与输入信号的比值,通过对CMRR表达式进行重新整理,可以用公式16来阐明这种关系。

*这是VDIFF,RTI(折合到输入端)。
CMRR是用于比较不同电路性能的一个实用指标。尽管它有其自身的作用,但它无法直接解释在EMI滤波器电路的传递函数中所发生的共模转差模行为。鉴于此,本文采用的分析方法能够更有效地评估和解释不平衡EMI滤波器所带来的影响。
结论
本文探讨了关于传统共模转差模滤波器的应用场景、工作原理及性能局限等方面的知识。在内容呈现上,尽量精简计算过程和仿真图表,重点在于阐释不平衡EMI滤波器的数学模型。此外,文中对相关公式进行了适度简化,并着重提炼出可供设计人员灵活运用的关键要点。
令人惊叹的是,看似仅由五个无源元件构成的简易电路,一旦出现不平衡状况,便会展现出超乎想象的复杂特性。
致谢
感谢Dan Burton和Fahad Masood对本文进行审阅并提出建设性的修改意见。
ADI网站上的相关文章
《仪表放大器设计人员指南》第三版,ADI公司,2006年9月。
“应用笔记:降低仪表放大器电路中的射频干扰整流误差(AN-671)”,ADI公司,2003年。
	
							阅读全文
							
						
					
								
								
								
875